13988889999
画册印刷

你的位置: 首页 > 印刷系列 > 画册印刷

高密度直流-直流转换器从电网延伸到车厢再到铁芯

2026-01-30 15:47:11 点击量:

  从以可再生能源为主的电网到人工智能数据中心,各领域的电力需求都在持续攀升,这也对电力电子器件提出了更高要求 —— 需要在更小的空间内实现更优性能。

  电力的传输需要经过复杂的直流 - 直流转换流程,电压等级会从电网的高压逐步降至高端处理器所需的毫伏级。为应对这些挑战,新一代直流 - 直流转换器应运而生,实现了多项技术突破:

  基于SiC和GaN的新型电源开关,用于电动汽车(EV)中的紧凑高频开关。

  随着越来越多的太阳能、风能及其他可再生能源以及储能系统(ESS)接入电网,甚至更多本地化的直流微电网,将这些电网从一个地点转换到另一个地方的电力电子设备正面临压力。

  一种潜在的解决方案是三有源桥(TAB)直流-直流转换器。该拓扑是双主动桥(DAB)的扩展,能够在保持高效率的同时管理多种不同的功率流。图1展示了使用标准双端口直流直流变换器实现的直流微电网。它只将一个直流单元连接到一个与电网的直流-直流转换器,而TAB的直流-直流转换器可以同时连接到多个能源源,简化设计和机械集成。

  1. 配备传统双端口直流/直流转换器的直流微电网系统(a);一种带有三端口直流/直流转换器的直流微电网系统(b)。

  重要的是,TAB支持双向电力流动,所有端口通过变压器磁耦合。变压器不仅提供所需的电隔离,还通过每个端口的匝比帮助调节不同的电压水平。

  TAB拓扑之所以流行,是因为它能够减小用于储能的大型复杂直流变流器尺寸。它还可以利用零电压开关(ZVS),这对于在更高频率下工作至关重要。

  然而,也有一些缺点:储能端口通常连接到大型电池单元,即使未使用,也不可避免地会有循环电流。这是由于TAB变换器的结构,降低了能量转换效率。

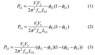
  下一个问题是当一个端口的功率变化影响TAB转换器中的另一个端口时。当瞬变发生时,会导致无关端口产生不必要的功率,因为每个端口功率均为Ø12和Ø 13的函数,具体参数为公式1、2和3:

  另一个需要注意的是,直流-直流转换器需要一个功率耦合控制,以消除端口之间的功率相关性。此外,这种方法即使未使用ESS端口,也会在ESS端口内感应出环路电流。这将导致控制的复杂性。

  双向直流-直流转换器也被用于电动汽车中,因为高功率密度和高效率是不可妥协的。它们用于将高压电池组与引擎盖下的所有其他系统(包括牵引逆变器的高压直流总线)连接起来。

  双向直流-直流转换器作为能量调节器,不仅将电池电流传递给电动车其他部分,还能在再生制动时将回收的能量传递到电池中。

  由于不同类型电池的输出电压可能不稳定,需要DC-DC转换器临时储存能量,并将不稳定的电压供给提升到更高且稳定的水平,以满足电动汽车的电力需求。因此,直流母线电压不受电池电压变化影响,使电机和逆变器都能实现最佳设计(见图2)。

  2. 双向直流-直流转换器拓扑结构(a);这是双向DC-DC转换器的三维模型,这是最常见的拓扑结构(b)。

  氮化镓(GaN)在这些直流-直流转换器中起着关键作用,可用于提升系统层面的功率密度和效率。氮化镓功率场效应晶体管(GANT)可在非常快的切换频率下工作,频率可提升至100 kHz以上,甚至在某些情况下超过1 MHz。这使得即使在硬开关拓扑条件下也能实现极低的开关损耗,减少系统功率损耗并最小化热量。

  使用氮化镓功率场效应晶体管(DFET),直流-直流转换器通常可以使用被动冷却,从而降低系统整体成本和面积。GaN还有助于简化变换器的设计和机械集成。因此,直流-直流转换器可以灵活地安装在车辆内,减轻制造商的工作负担。

  此外,氮化镓使得转换器功率可提升至千瓦,提升功率密度——同时具备超过90%的典型效率和相较液冷转换器的热量提升。

  在两相配置中,直流-直流变换器的相可以组合以最大化输出功率。也可以在部分负载条件下关闭一相,并在两相之间交错切换频率。通过串联交换两相输入,直流-直流转换器可用于实现800伏架构,而不超过氮化镓场效应管的最大阻断电压。

  由于电动汽车及其他系统空间有限,功率密度是这些双向直流变流器最重要的指标之一。另一个要求是高效率。被动元件如电容和电感会限制总功率密度。此外,这些电梯还经常导致电力损失。影响系统中被动元件总体积的因素包括:

  切换频率:通过提高开关频率,无源元件体积会减少,但开关频率会受限于所需的效率。

  滤波器电感:小滤波器可能导致电感器尺寸变小。然而,需要大型滤波电容来滤除高电流的纹波。

  根据图3所示的无源元件和图4中的功率转换效率,我们可以看到当开关频率高于20 kHz时,无源元件体积几乎不会随着频率的增加而减少。然而,电力变换器的效率将显著降低。因此,你需要密切关注功率密度和效率之间的权衡。

  为电路板及系统级芯片(SoC)提供大电流的直流 - 直流转换器,同样在快速发展。

  在数据中心领域,单级直流 - 直流转换器的应用越来越广泛,其优势在于能够减少电压转换的级数。例如,美国弗吉尼亚理工大学电力电子系统研究中心(CPES)设计的一款氮化镓基非稳压直流 - 直流转换器,可直接将 48V 母线V。该转换器采用印刷电路板绕组电感集成磁性元件,这款高效降压转换器在精准稳压的同时,可为负载提供大功率输出。

  人工智能技术的快速普及,推动了美国数据中心需求的爆发式增长。麦肯锡的预测数据显示,为支撑当前的技术发展速度,到本十年末,数据中心的电力需求将增长至目前的近 3 倍。这意味着,美国数据中心的能耗占比将从当前的 3%~4%,攀升至 2030 年的 11%~12%。

  现代数据中心的电力架构通常采用 48V 母线V 母线V 母线能有效降低电阻损耗(见图 5)。传统方案中,48V 母线V,再进一步降至系统级芯片所需的核心电压(通常低于 1V)。

  5. 数据中心配电系统:传统交流配电(a);直流配电采用48伏母线(b)。

  传统的每一级电压转换都需要配备独立的功率转换器,而每一级转换都会产生能量损耗,累计损耗甚至超过 10%。这些损耗最终会转化为热量,需要通过散热系统排出。

  如果采用弗吉尼亚理工大学电力电子系统研究中心研发的 48V 转 1V LCC 转换器这类单级高效转换器,数据中心有望大幅降低能量损耗,同时简化系统复杂度。

  归根结底,从电网(或微电网)到驱动电动汽车、人工智能数据中心的系统级芯片,各领域对更高功率密度与效率的需求将持续攀升,这也将推动直流 - 直流转换器技术不断迭代升级。

  《高频率,高速度,高密度,多层次的印制板设计工具—Prote199 SE的PCB模块》

  英飞凌推出首款100V车规级晶体管,推动汽车领域氮化镓(GaN)技术创新

  具故障保护功能的高功率、升压 / SEPIC / 负输出 DC/DC 输出转换器

  GlobalFoundries与onsemi合作开发200毫米氮化镓产品组合

  下一篇:概伦电子先进宽带噪声分析仪9812HF:刷新半导体噪声测试标准

上一篇 : 深圳市德兰明海申请一种充电控制电路及储能系统专利避免由于匝比过大造成充电时的资源浪费

下一篇: 利沃得申请适用于零馈电控制的双通道防震荡电流采样系统专利提升双匝比电流互感器的采样精度

返回列表


地址:海南省海口市玉沙路58号 电话:海南省海口市玉沙路58号 传真:海南省海口市玉沙路58号

Copyright © 2012-2018 EYOUCMS. 易优CMS 版权所有 Powered by EyouCms ICP备案编号:琼ICP备88889999号  

这里是您的网站名称

扫描微信号